Invariant sets 만약 점들의 집합(M)이 state space안에 시간에 불변하게 계속 있으면. $$ x(t_{0}) \in M => x(t) \in M $$ for all $$ t > t_{0} $$ 예를 들면, Equilibrium 점들 이나 제한된 사이클들 이나 V(x)의 level 들일 때. 만약, t->infinite 일 때 V_dot(x) -> 0 면, x(t)는 M set 으로 수렴하고, M엔 V_dot(x) = 0인 점도 포함되어있다. Global invariant set theorem. 만약, V(x) 가 positive definite이고 V_dot(x) infinite as ||x|| -> infinite 라면, (i) V_dot(x) -> 0 as t -> infinite..
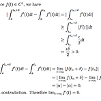
Barbalat’s lemma => for time-varying system. (non-autonomous system) 을 분석할 때, 중요하게 쓰인다.정의 : f(t)가 C에 수렴하고. f’(t)가 uniformly continuous. 하거나 f’’(t)가 수렴 할 때, uniformly continuous 한 함수란 함수 f(t)가 $$ |t - t_{n}| = C 인 C (C != 0) 값을 갖는다. (a는 C != 0 이 아니게 만족하는 어떤수 => 항상 존재 할수 밖에 없음 왜냐하면 f’(t)는 0에 수렴하지 않으니까) 그리고 f’(t)는 uniformly continuous 하기 때문에$$ |t - t_{n}| = \epsilon - \frac{\epsilon}{2} $$$$ = \fra..
Non-autonomous system 수학에서, autonomous system은 smooth manifold 에서의 운동 방정식이고. non-autonomous system은 smooth fiber bundle (Q -> R over R )에서의 운동 방정식이다. smooth manifold 와 smooth fiber bundle 이란?manifold는 a manifold is a topological space that locally resembles Euclidean space near each point. More precisely, each point of an n-dimensional manifold has a neighborhood that is homeomorphic to the Eucl..
연계된글Lyapunov function : http://blog.rakjoon.net/entry/Lyapunov-function다양한 Lyapunov theorem : http://blog.rakjoon.net/entry/다양한-Lyapunov-TheoremLyapunov Control Design : http://blog.rakjoon.net/entry/Lyapunov-Control-Design Control-Lyapunov function일단 control-Lyapunov function은 Lyapunov function 이 무엇인지 우선 알아야한다. Wiki : (https://en.wikipedia.org/wiki/Control-Lyapunov_function) 뭐하는 것인가(?) : Lyapun..
- Total
- Today
- Yesterday
- 창숨김 프로그램
- ROS2 설치
- C# 책
- robot
- readonly
- c#초보
- C#입문
- 책 소개
- c#.net
- 창숨기기
- ipTIME
- 디스크 쓰기 금지되어 있습니다
- 창숨기기 프로그램
- c#ㄱㄱ
- 블로그 개설
- C# 속으루..
- USB
- ubuntu
- iptime 2000au
- 2000au
- ROS2
- 창숨김
- C#책
- 블로그 공지
- 창숨김 다운
- c#
- 블로그 이야기
- C 책
- 블로그
- Node
| 일 | 월 | 화 | 수 | 목 | 금 | 토 |
|---|---|---|---|---|---|---|
| 1 | 2 | 3 | 4 | 5 | 6 | |
| 7 | 8 | 9 | 10 | 11 | 12 | 13 |
| 14 | 15 | 16 | 17 | 18 | 19 | 20 |
| 21 | 22 | 23 | 24 | 25 | 26 | 27 |
| 28 | 29 | 30 | 31 |